電感的主要特性是貯存磁場能。但由于它一般是用金屬導線繞制而成的,所以有繞線電阻(對于磁芯電感還應包括磁性材料插入的損耗電阻)和線圈匝與匝之間的分布電容。采用一些特殊的制作工藝,可減小分布電容,工作頻率也較低時,分布電容可忽略不計。因此,電感的測量主要包括電感量和損耗(通常用品質因數Q表示)兩部分內容。
1.諧振法測量電感

圖1 諧振法測量電感
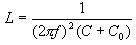
如圖1所示為并聯諧振法測電感的電路,其中C為標準電感,L為被測電感,Co為被測電感的分布電容。測量時,調節信號源頻率,使電路諧振,即電壓表指示最大,記下此時的信號源頻率f,則:

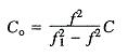
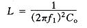
由此可見,還需要測出分布容Co,測量電路如圖1所示,只是不接標準容。調信號源頻率,使電路自然諧振。設此頻率為f1,則:

由上兩式可得:

將Co代入L的表達式,即可得到被測電感的感量。
2.交流電橋法測量電感
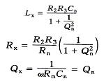
測量電感的交流電橋如圖2(a)和(b)所示的馬氏電橋和海氏電橋兩種電橋,分別適用于測量品質因數不同的電感。

圖2 交流電橋法測量電感
如圖2(a)所示的馬氏電橋適用于測量Q<10的電感,圖中Lx為被測電感,Rx為被測電感損耗電阻,馬氏電橋由電橋平衡條可得:

一般在馬氏電橋中,R3用開關換接作為量程選擇,R2和Rn為可調元件,由R2的刻度可直讀Lx,由Rn的刻度可直讀Q值。圖2(b)所示的海氏電橋適用于測量Q>10的電感,測量方法和結論與馬氏電橋相同。
電話:18923864027(同微信)
QQ:709211280
〈烜芯微/XXW〉專業制造二極管,三極管,MOS管,橋堆等,20年,工廠直銷省20%,上萬家電路電器生產企業選用,專業的工程師幫您穩定好每一批產品,如果您有遇到什么需要幫助解決的,可以直接聯系下方的聯系號碼或加QQ/微信,由我們的銷售經理給您精準的報價以及產品介紹

